当前位置:首页>铸造工艺

基于时间序列数据驱动的压铸机压射系统机理模型

钟建辉 发表于2024/9/24 9:52:31 理论公式模型液压系统

原标题:宁波大学&力劲科技:基于时间序列数据驱动的压铸机压射系统机理模型

近年来,我国航空航天和国防工业快速发展,但飞机、导弹、飞船和卫星上具有众多复杂构件,对成形过程要求极高,还需满足轻量化等要求,随之而来的成形方法日益受到关注。压铸工艺已经广泛地应用于航空航天领域,能够实现传统铸造工艺无法实现的各种复杂形状铸件的制造,且铸件具有尺寸精确、轮廓清晰、力学性能优越等特点,而压铸机压射时的压射速度对铸件的品质影响巨大,不同的产品所需要的压射速度也不相同,因此需要建立压铸机压射过程中关于压射速度的模型来对其进行准确控制。目前,还有很多压铸机中使用普通的手动调节插装阀来调节压射速度,这种阀无法做到实时控制压射速度,只能在每次压射完成后调节阀芯位移量使压射速度在下一次压射时达到期望值,因此需要建立准确的模型来预测期望压射速度对应的阀芯位移量。

研究者推导了液压系统的液压缸活塞杆运动速度和阀芯位移的数学公式,建立了理论公式模型,为后续对液压系统的控制和仿真奠定了基础。对压铸机的压射系统进行建模,建立压射系统的开环传递函数模型。在建模过程中对负载进行了简化处理,根据力平衡方程和流量连续性方程建立了关于阀的输入信号与压射缸压射速度的微分方程数学模型。上述研究都对真实模型做了较大的简化处理,未充分考虑压铸机压射系统的大惯性以及压射过程中压射活塞与压射缸、冲头与模具之间的摩擦,还有插装阀阀芯开启瞬间流过插装阀的流量变化,因此所建立的数学模型与实际系统会有较大误差。为了实现对压射速度进行精确的控制,建立一个能准确反映压射系统机理的模型十分必要。考虑到压铸机具有比较强的非线性、迟滞性特性,要建立其压射系统准确的数学模型难度较大,且压射速度数据具有较强的时序特性,而LSTM神经网络能够有效地处理时间序列,为解决难以得到压铸机压射系统准确模型的问题提供了一个新的方法和思路。本研究提出基于时间序列数据驱动的建模方法对整个压射过程的速度曲线与阀芯位移量之间的关系进行建模,考虑速度曲线中包含的所有信息,让LSTM神经网络自动学习速度曲线中包含的特征信息和建立的模型可以更准确地描述压射速度与阀芯位移的关系,有效地解决理论建模方法误差大、模型不准确的问题,为手动调节速度的压射系统的速度控制提供参考。

图文结果

压铸机的压射过程可分为慢速阶段和快速阶段,其中快速阶段时有90%以上的流量由蓄能器提供。快速阶段的速度很难控制,且该阶段的速度对产品的品质影响极大,本研究仅选取快速阶段作为研究对象,同时为简化模型,忽略快速阶段时油泵提供的流量。压铸机压射系统的原理见图1,该系统主要由蓄能器、电磁阀、插装阀和压射缸组成。

插装阀阀芯的位移量是可调节的,在压铸机压射系统上体现为对阀口开度的调节,同时插装阀的通断可由安装在其上的电磁阀进行控制。压铸机压射速度大小的控制是通过调节插装阀阀芯的位移量来实现的。压射过程的工艺流程见图2。

图1 压铸机压射系统原理
1.模具 2.冲头 3.磁栅式位移传感器 4.插装阀5.电磁阀 6.蓄能器 7.增压缸 8.压射缸

图2 压射工艺流程图

基于时间序列数据驱动的压射系统机理模型由数据预处理部分和LSTM神经网络模型两部分组成,其中LSTM神经网络模型又包括序列输入层、LSTM层、Relu层、全连接层和回归层,其结构见图3。在压铸机压射过程中,通过位移传感器采集到活塞杆的位移-时间信息,进一步处理成速度-时间信息。压射速度曲线是随时间变化的曲线,具有较强的时序特性,因此采用善于解决时间序列数据的LSTM神经网络来寻找压射速度与阀芯位移量之间的关系。

由于压射系统的压射活塞与压射缸、冲头与模具之间存在摩擦,且插装阀阀芯开启与达到稳态时阀口两端的压力差存在变化,导致实测采集的速度曲线会存在噪声,在对速度曲线进行分析前需要对其进行去噪处理。首先,数据预处理通过小波分解将速度信息分解成多个高频和低频成分,然后再对相应的高频部分进行小波阈值去噪。

图3 压射系统机理模型框架

图4 小波分解过程示意图

图5 LSTM神经网络单元

LSTM神经网络作为一种特殊的循环神经网络(Recurrent Neural Network, RNN),在传统RNN的基础上增加了记忆细胞单元,可用于保存时间状态。每个记忆细胞单元包含遗忘门、输入门和输出门等。这3个门可以共同控制输入信息的遗忘和记忆,解决了RNN梯度消失和梯度爆炸的问题,能有效处理长时间、距离的依赖问题,使其更善于处理时间序列数据。

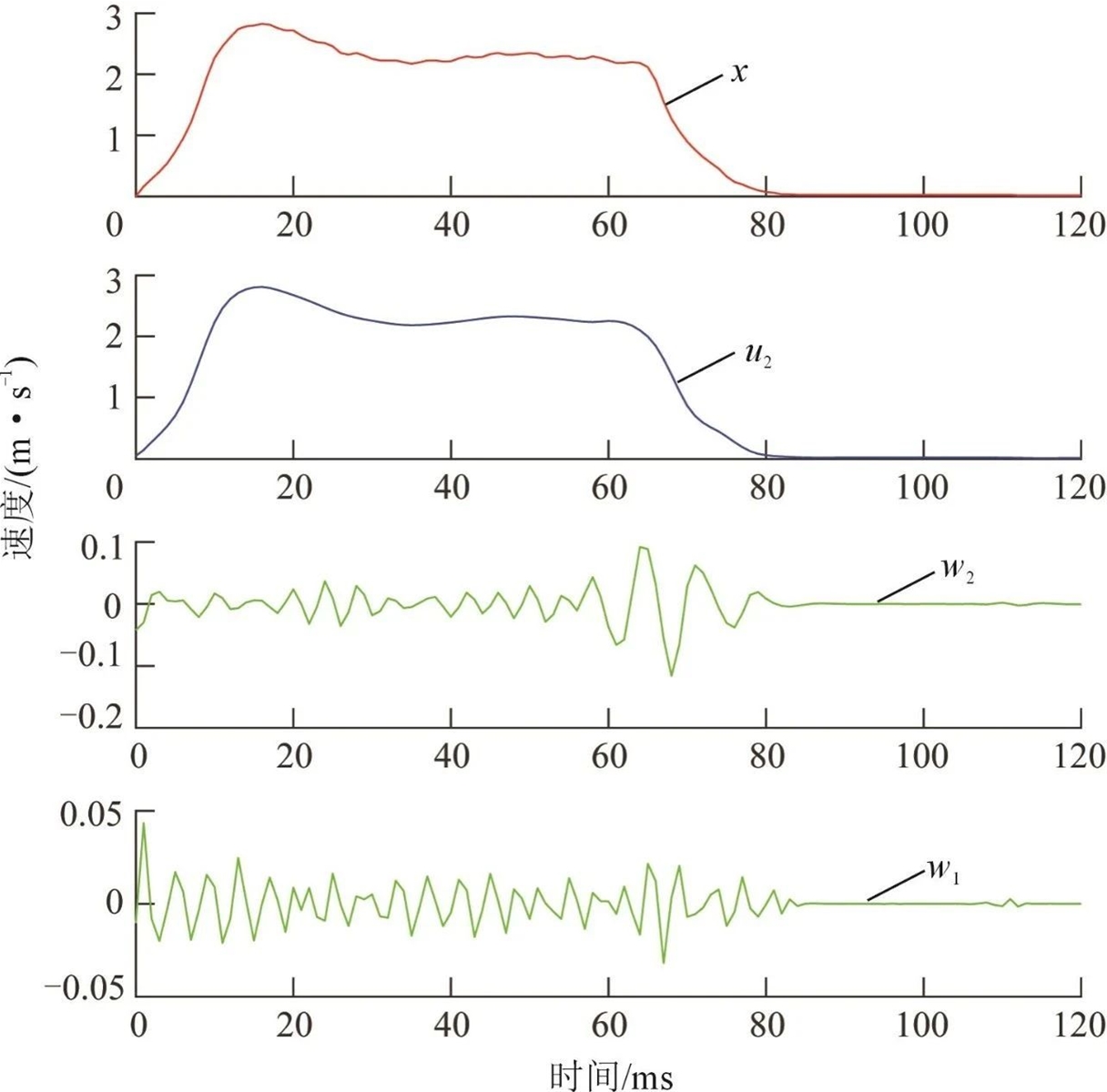
研究数据来源于某型锁模力为2800 kN的压铸机,其结构部分的实物图见图6。通过安装在活塞杆上的磁栅式传感器,采集由蓄能器供油时压铸机在快速阶段下快速插装阀不同开度百分比对应的速度数据,其中插装阀阀芯的最大位移量为ymax,阀口开度百分比P取较有代表性的值为20%~52%(每隔2%取一个值),蓄能器储能时的压力为14 MPa,每个阀口开度百分比采集30组速度数据,共510组数据,所采集到的部分速度曲线见图7。

图6 压射机结构实物图
1.冲头 2.活塞杆 3.蓄能器4.磁栅式位移传感器 5.压射缸

图7 压射速度曲线

图8 sym8小波尺度函数与小波函数

小波分解后的高低频信息见图9,其中u2为第2层的低频近似系数,w1和w2分别为第1层和第2层的高频细节系数。对分解后的高频信息进行阈值去噪处理,去噪与重构后的结果见图10,对比初始速度信号与去噪后的速度信号可以看出,通过小波阈值去噪后,由压射活塞与压射缸、冲头与模具之间摩擦力以及插装阀阀口两端压差变化引起的噪声能被有效去除,同时速度曲线也变得更平滑。去除噪声后的速度信号能最大程度地减小将其输入模型时对特征自动提取的干扰。

图9 小波分解结果图

图10 数据预处理结果图

图11 模型预测结果图

图12 速度信号

表1 预测结果对比

结论

(1)对于压射速度曲线中存在的噪声,采用小波阈值去噪的方法对数据进行降噪处理,能有效地去除速度数据中的噪声。建立了基于时间序列数据驱动的压铸机压射系统机理模型,充分地利用了LSTM神经网络处理时间序列的能力,所建立的模型的均方根误差RMSE为0.336%,相关系数R2为0.998,模型准确率较高。

(2)通过与理论公式模型的预测结果进行对比,理论公式模型的平均误差为-17.36%,该压射系统机理模型的平均误差为0.11%,说明该压射系统机理模型要优于理论公式模型,且能较好地实现对所需压射速度对应的阀芯位移量的预测。

作者

钟建辉 娄军强 彭文飞 余军合
宁波大学机械工程与力学学院

冯光明 胡奖品 刘亚刚
宁波力劲科技有限公司

本文来自:《特种铸造及有色合金》杂志,《压铸周刊》战略合作伙伴

回页顶部