当前位置:首页>铸造工艺

铝合金涡旋压缩机静盘的挤压铸造工艺研究

巫世强、潘龙等 发表于2026/4/13 10:00:57 涡旋压缩机静盘工艺参数

原标题:铝合金涡旋压缩机静盘挤压铸造工艺研究

摘要

采用数值模拟方法,探究了最小壁厚3 mm的铝合金涡旋压缩机静盘挤压铸造铸件充型与凝固过程,预测了缩孔缩松的分布,并基于数值模拟结果提出了结合分段速度控制与模具局部强制冷却的优化工艺。试制验证表明:采用“慢-快-慢”(0.3 m·s⁻¹—0.6 m·s⁻¹—0.3 m·s⁻¹)的充型速度模式可有效保障薄壁区域充型完整;同时在热节部位实施定点冷却,能够有效抑制缩孔与缩松缺陷。最终所得铸件内部质量优良,经X射线检测与T6热处理验证,无缩松、鼓泡等缺陷,满足产品技术要求。

新能源汽车技术的飞速发展,对铝合金铸件提出了精密化、轻量化及结构-功能一体化的更高要求。挤压铸造作为一种集流变充填、高压凝固与微量塑性变形于一体的先进成形技术,其生产的铸件具备优异的内部质量。然而,该工艺通常适用于平均壁厚大于6 mm、局部最小壁厚不小于3 mm的铸件,对于更薄的复杂结构件,极易因充型困难而引发气孔、缩孔和缩松等缺陷,导致产品合格率偏低。因此,如何保障复杂薄壁铸件的成形质量,已成为当前亟待突破的技术瓶颈。

牛海侠等通过AnyCasting分析薄壁壳体的液态模锻过程,得出提高浇注温度与模具预热温度更有利于铝合金薄壁铸件成形的结论;朱虎等基于CAD/CAE结果,对活塞模具集溢流槽的数量及溢流槽的尺寸进行优化,成功生产出最薄壁厚为3.5 mm的薄壁高强韧机械活塞;李锦东采用ProCAST软件模拟不同浇口速度对大壁厚差铸件成形过程的影响,得到最佳工艺参数,获得了质量好且可批量生产的铸件。可见数值模拟技术可以有效指导铸造工艺的开发及优化。本研究以局部最小壁厚为3 mm的涡旋压缩机静盘铸件为研究对象,通过数值模拟以及试制验证,分析此类铸件的充型凝固过程,确定最佳工艺参数,为实现挤压铸造铝合金复杂薄壁铸件批量生产提供依据。

01 涡旋压缩机静盘铸件介绍

该涡旋压缩机静盘铸件用于新能源汽车空调系统,其外观尺寸为283 mm×265 mm×72 mm,质量为3.54 kg,三维模型如图1所示,整体形状呈方形,主体为中部圆台(灰色区域),径向两侧为叶片(绿色区域)及涡旋体(黄色区域),外圈为法兰。最大壁厚21 mm,位于法兰扇形面,最小壁厚3 mm,位于叶片区域顶部,总体壁厚差较大。成形技术要求如下:

(1)铸件成形完整;

(2)按GB/T 11346—2018进行射线检测,缩松缺陷不超过2级;

(3)T6热处理后无鼓泡缺陷;

(4)涡旋体部位加工后无气孔。

图1 铸件三维图

铸件材料选用A356铝合金,其化学成分见表1。

表1 A356铝合金化学成分 wB/%

02 涡旋压缩机静盘铸件挤压铸造工艺设计

2.1 工艺难点

通过对产品壁厚及结构进行分析,该铸件叶片区域最小壁厚仅3 mm,使用常规挤压铸造工艺生产,叶片处易产生大面积欠铸现象;若直接升高模具温度和充型速度,则易导致卷气、氧化夹渣及缩孔缩松等缺陷。如何同时确保叶片成形完整及内部质量达标是该铸件生产的最大难点。

2.2 分型面确定

分型面设计原则如下:

(1)分型面应选在铸件外形的最大轮廓处;

(2)分型面的选择应有利于铸件的顺利脱模;

(3)分型面的选择应保证铸件的尺寸精度要求;

(4)分型面的选择要便于模具的加工制造;

(5)分型面的选择应有利于排气。

铸件结构复杂,尺寸较大,采取一模一腔生产方式,最大轮廓处位于铸件法兰部分,因此分型面选为法兰中心面,如图2所示,绿色部分为动模,红色部分为定模。

图2 铸件分型面设计

2.3 内浇道设计

2.3.1 确定内浇道

根据挤压铸造内浇道设计原则,选取最大壁厚处为进浇面,具体结构如图3所示,冲头直径为110 mm,内浇道面积为4 069 m㎡。

图3 铸件浇注系统设计

2.3.2 内浇道临界速度模型

铝液充型形态分为两种:顺序充型和反向充型。顺序充型是指液面氧化膜不受高温铝液的冲击,铝液以层流式缓慢充型,最终充满型腔;反向充型是指高温铝液冲破氧化膜,在型腔中以紊流态进行充型,铝液有明显的绕弯转折等流动行为,在此过程中容易形成卷气、氧化夹渣等缺陷。因此,顺序充型是比较理想的挤压铸造充型方式。

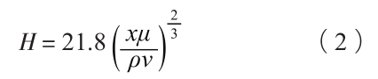
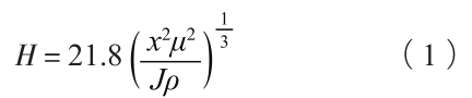
王淑花等的研究表明,铝液的充型形态取决于射流宽度和射流速度。射流宽度H可以由下式得到:

式中:x为液面与射流口的垂直距离;ρ为流体密度;μ为流体动力粘度;J为与射流口垂直距离为x处截面的动量通量,其值为J=ρv²,v为铝液运动速度,代入上式,可得:

由式(2)可知,铝液的射流宽度和流体动力粘度平方的立方根成正比,与铝液运动速度平方的立方根成反比,即型腔尺寸与铝液充型温度确定后,铝液进入型腔的速度将起关键作用。

在充型时,为增大射流宽度,避免卷气夹杂的产生,应选择较低初始充型速度;待铝液进行全壁厚充型时,逐渐加速,减少总体充型时间。

2.3.3 内浇道临界速度模拟

基于设计好的铸件浇道,以内浇道临界速度(即铸件本体进浇面处的临界速度)为研究对象,设定浇注温度为700 ℃,模具预热温度为300 ℃,采用温度场与流动场耦合方式进行充型过程数值模拟。设定铸件材料-模具之间的传热系数在555 ℃至615 ℃区间内,由1 000 W·m⁻²·K⁻¹线性增长至2 700 W·m-2·K⁻¹;当温度低于555 ℃时,其值恒为 1 000 W·m⁻²·K⁻¹,当温度高于615 ℃时,则恒为2 700 W·m-2·K⁻¹。内浇道临界速度模拟参数取0.5、0.6、0.7、0.8和0.9 m·s⁻¹。

2.3.4 内浇道临界速度模拟结果分析

图4为不同内浇道速度下的铝液流动情况。当内浇道速度为0.9 m·s⁻¹时,在惯性力作用下,前端铝液冲破氧化膜的束缚,由内浇道处呈扇形向上端以及左右两侧激射而出,冲击两侧型腔,而后随着惯性力消失回落至底部,与后端铝液汇合,导致紊流,在未及时充型的边缘部位形成气隙,产生卷气、氧化夹渣等缺陷;当内浇道速度为0.8 m·s⁻¹时,仍然出现上述现象,尤其是在左右侧薄壁部位;随着内浇道速度不断降低,铝液紊流现象逐渐得到改善,直到降低至0.5 m·s⁻¹时,紊流现象消失,铝液在表面张力与粘度作用下,经过内浇道时流动平缓,趋向层流。故铸件内浇道临界速度取0.5 m·s⁻¹。

图4 不同内浇道临界速度下铝液流动情况

2.3.5 铸件缺陷数值模拟

保持其他参数不变,在充型速度0.5 m·s⁻¹下对铸件缺陷进行数值模拟预测。

充型阶段,铝液在前端氧化膜的包裹下平缓通过内浇道,无明显扰动现象,各部位铝液基本处于同一水平面,直至充满型腔。充型时长1.76 s,过程平稳有序,见图5。充型过程中在涡旋体上下边缘处出现局部困气现象,从结构上看,两处需要铝液以垂直角度进行充型,充型速度过快易导致气体无法及时排出,见图6。此外,可以观察到充型完成时叶片顶部温度处于液相线边缘,易造成冷隔、欠铸缺陷。

图5 充型过程数值模拟结果

图6 充型过程中卷气数值模拟结果

凝固阶段,由图7可以看出,铸件整体自外侧向中间圆台快速凝固,在凝固进度达到90%时,圆台中部产生孤立液相区;结合图8缺陷模拟结果,该位置有很大概率产生缩孔缩松,需针对性布置冷却水及点冷。

图7 凝固过程数值模拟结果

图8 凝固过程缺陷数值模拟结果

2.3.6 溢流槽设计及工艺优化

针对缺陷位置及特点,进行溢流槽的设计以及工艺优化,方案如下:

(1)在铸件外侧合理布置溢流槽,考虑到在两侧薄壁顶部布置溢流槽困难,故在此处设计排渣凸台,用于容纳铝液前端浮渣,待后续机加去除。

(2)降低铝液充型涡旋体上下边缘处的速度,保证气体有效排出,但该措施会延长铝液充型叶片区域的时间,使铝液降温幅度加大,增加冷隔、欠铸缺陷产生的概率;为保证叶片区域充型完整,在充型型腔时加设一段速度用以快速充型叶片区域,即总体的充型速度为0.3 m·s⁻¹—0.5 m·s⁻¹—0.3 m·s⁻¹;同时考虑到铝液受惯性力作用,在速度切换的过程中采用匀加速/匀减速。

(3)针对凝固过程中产生孤立液相区的部位布置冷却水道,提高铝液冷却速度,在缩孔缩松易产生部位布置点冷,降低缺陷产生的概率。

最终铸型如图9所示。

图9 优化后的铸型

2.3.7 优化工艺数值模拟

从图10可以看出,优化后铸件充型过程仍处于平稳状态,充型完成时间为2.49 s,较之前延长了0.73 s;局部困气问题得以解决(图11);充型完成时叶片顶端局部区域的温度低于液相线,试制时需特别关注。

图10 优化后充型过程数值模拟结果

图11 优化后充型过程卷气数值模拟结果

优化后铸件凝固过程中铝液的残留情况如图12所示,整体凝固趋势与原来保持一致,在冷却水以及点冷作用下,铸件圆台中部冷却速度加快,基本消除孤立液相区。结合图13缺陷模拟结果能够看出,缩孔缩松产生概率降低,优化工艺取得预期成效。

图12 优化后凝固数值模拟结果

图13 优化后凝固过程缺陷数值模拟结果

03 实际试制验证

使用8 000 kN挤压铸造设备进行试制,铸件充型凝固后自然空冷,过程中根据铸件成形情况调整实际参数,具体工艺如表2所示。

表2 实际生产工艺参数

试制的铸件如图14所示,成形质量如表3所示。采用数值模拟优化参数制备的铸件1轮廓清晰、表面光洁、尺寸精度高,但叶片部位存在欠铸现象,与数值模拟结果存在一定差异,见图14(a)。推测是因为充型过程中,铝液随着温度降低而粘度提高,表面张力也随之升高,形成较大阻力,阻碍铝液前进。根据分析结果,在后续的试制中增大成形压力,得到提升两次压力后的铸件,见图14(b)、(c)。可见,叶片部位仍然存在较大面积的欠铸,并未随着成形压力的提高而得到改善,说明铸件叶片区域的欠铸与成形压力并无关系。

表3 铸件成形质量评估

图14 不同工艺成形的铸件

铝液粘度升高,表面张力加大,层流临界速度也随之增大,故改善欠铸缺陷的措施可以有以下三种:一是提高浇注温度,二是提高模具温度,三是提高充型速度。根据实际生产条件的限制及浇注温度与模具温度提高带来的副作用,提高充型速度相对而言比较合理。适当将二段充型速度提升至0.6 m·s⁻¹,得到铸件4,见图14(d),叶片处的欠铸有明显改善。继续将二段充型速度提升至0.7 m·s⁻¹,叶片充型饱满,但两侧薄壁处出现小面积欠铸现象,见图14(e),通过观察发现,在欠铸缺口附近附着的脱模剂流痕紊乱,欠铸缺口平整光滑,其原因为充型速度过快,导致铝液紊流回卷,产生包气。将第二段充型速度调整为0.6 m·s⁻¹,提高浇注温度至710 ℃,成形的铸件如图14(f)所示,各部位成形完整,表面光滑。

对采用最佳工艺生产的铸件进行抽检,铸件成形完整,外观检查无明显铸造缺陷,尺寸精度在允许误差范围内。按GB/T 11346进行X射线检测,关键部分成形良好,没有孔洞类缺陷产生(图15);铸件经T6热处理后无鼓泡(图16),满足规定技术要求。

图15 铸件X射线检测结果

图16 T6热处理后的铸件

03 结论

通过数值模拟与试验验证相结合的方法,系统探究了铝合金涡旋压缩机静盘铸件挤压铸造工艺。关键结论如下:首先,确定了该铸件的内浇道临界充型速度为0.5 m·s⁻¹,为实现平稳顺序充型提供了理论依据;其次,采用了“慢-快-慢”的多段速度控制策略,并辅以模具热节部位的定点强冷技术,成功协调了充型过程与凝固补缩之间的矛盾,从而同步解决了薄壁区域充型不足与厚壁区域缩松缺陷的难题。生产实践证实,该优化工艺稳定可靠,能够实现最小壁厚仅3 mm的铝合金涡旋压缩机静盘铸件的优质生产,为此类高难度结构铸件的开发与批量生产提供了有效的技术方案和实践依据。

作者

巫世强1,张春铭1,张建忠1,潘 龙2,黄启宇1

1. 机械科学研究总院(将乐)半固态技术研究所有限公司

2. 中国机械总院集团海西(福建)分院有限公司

本文转载自:铸造杂志

回页顶部